The continuum tangent matrix for plastic flow
Substituting Equations 33 and 20 into Equation 7 gives the continuum tangent matrix,
For isotropic elasticity,
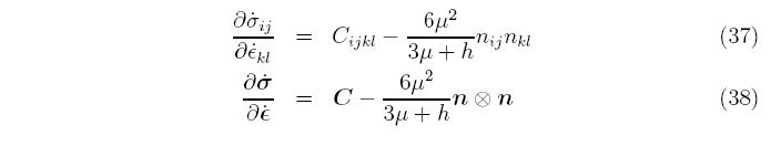
which allows the elasto-plastic tangent matrix to be simplified to
where C is the standard linear isotropic elasticity matrix. This tangent is only used when there is plastic ow, and the elastic tangent is used otherwise.
djb 2005
