Getting Started
Problem Definition
Consider the deformation of an aluminum block sitting on the floor with a pressure applied to the top surface.
Aluminum 1100-O | |
density | 2700 kg/m3 |
modulus of elasticity | 70.0 e+09 Pa |
Poisson Ratio | 0.3 |
coefficient of expansion | 3.6e-06 m/m K |
heat capacity | 900 J/kg K |
thermal conductivity | 220 W/m K |
Input File Preparation
The first step is to create a mesh and define node points. Since we are just getting started, we will define the mesh as consisting of only 1 element and 8 node points as shown in the following figure. Also, we will use default values for many of the parameters in the input file, and therefore not have to enter them.
The following steps are required to create the finite element model input file.
The first line of the input file must begin with *KEYWORD. This identifies the file as containing the keyword format instead of the structured format which can also be used (see LS-DYNA Structured User s Manual):
*KEYWORD
The first input block is used to define solution control and output parameters. As a minimum, the *CONTROL_TERMINATION keyword must be used to specify the problem termination time. We will apply the pressure load as a ramp from 0 Pa to 70.e+05 Pa during a time interval of 1 second. Therefore, the termination time is 1 second. Additionally, one of the many output options should be used to control the printing interval of results (e.g., *DATABASE_BINARY_D3PLOT). We will print the results every 0.1 seconds:
*CONTROL_TERMINATION
1.
*DATABASE_BINARY_D3PLOT
.1
The second input block is used to define the model geometry, mesh, and material parameters. The following description and map may help to understand the data structure in this block. We have 1 part, the aluminum block, and use the *PART keyword to begin the definition of the finite element model. The keyword *PART contains data that points to other attributes of this part, e.g., material properties. Keywords for these other attributes, in turn, point elsewhere to additional attribute definitions. The organization of the keyword input looks like this:
The LS-DYNA Keyword User Manual should be consulted at this time for a description of the keywords used above. A brief description follows:
- *PART
- We have 1 part identified by part identification (pid=1). This part has attributes identified by section identification (sid=1) and material identification (mid=1).
- *SECTION_SOLID
- Parts identified by (sid=1) are defined as constant stress 8 node brick elements by this keyword.
- *MAT_ELASTIC Parts
- identified by (mid=1) are defined as an elastic material with a density Á, a modulus of elasticity E, and a Poisson ratio of µ.
- *ELEMENT_SOLID
- Eight node solid brick elements identified by element identification (eid=1) have the attributes of (pid=1) and are defined by the node list (nid)
- *NODE
- The node identified by (nid) has coordinates x,y,z.
Our finite element model consists of 1 element, 8 nodes, and 1 material. Keeping the above in mind, the data entry for this block looks like this:
*PART
aluminum block
$--------+---------+---------+---------+---------+---------+---------+---------+
$ PID SECID MID EOSID HGID GRAV ADPOPT TMID
1 1 1
*SECTION_SOLID
$--------+---------+---------+---------+---------+---------+---------+---------+
$ SECID ELFORM AET
1
*MAT_ELASTIC
$--------+---------+---------+---------+---------+---------+---------+---------+
$ MID RO E PR DA DB K
1 2700. 70.e+09 .3
*ELEMENT_SOLID
$------+-------+-------+-------+-------+-------+-------+-------+-------+-------+
$ EID PID N1 N2 N3 N4 N5 N6 N7 N8
1 1 1 2 3 4 5 6 7 8
*NODE
$------+---------------+---------------+---------------+-------+-------+-------+
$ NID X Y Z TC RC
1 0. 0. 0. 7 7
2 1. 0. 0. 5 0
3 1. 1. 0. 3 0
4 0. 1. 0. 6 0
5 0. 0. 1. 4 0
6 1. 0. 1. 2 0
7 1. 1. 1. 0 0
8 0. 1. 1. 1 0
The third input block is used to define boundary conditions and time dependent load curves. We are applying a load of 70.e+05 Pa to the top surface of the block defined by nodes 5-6-7-8. We will ramp the load up from 0 Pa to 70.e+05 Pa during a time interval of 1 second:
*LOAD_SEGMENT
$--------+---------+---------+---------+---------+---------+---------+---------+
$ LCID SF AT N1 N2 N3 N4
1 1. 0. 5 6 7 8
*DEFINE_CURVE
$--------+---------+---------+---------+---------+---------+---------+---------+
$ LCID SIDR SFA SFO OFFA OFFO DATTYP
1
$------------------+-------------------+
$ A1 O1
0. 0.
1. 70.e+05
*END
The last line in the input file must have the keyword *END
LS-DYNA solution
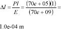
The vertical and horizontal displacement of node 7, calculated by LS-DYNA, are shown in the following 2 graphs. The solution to this simple problem can be calculated analytically. The LSDYNA solution compares exactly with the analytical solution.
The vertical displacement due to a 70.0e+05 Pa pressure load can be calculated by:
The horizontal displacement is:
