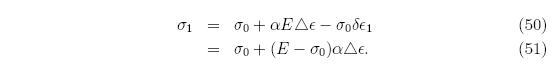
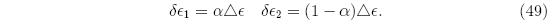
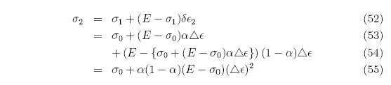
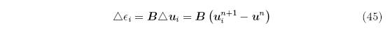
Modified items All recently modified items, latest first. Formel_07.png Formel_06.png Formel_05.png Formel_04.png Formel_03.png Formel_02.png Formel_01.png copy_of_Bild_1.png Intro_LS-DYNA_Tutorial formel5758 formel56 Formel5255 formel5051 formel49 formel48 formel47 formel46 formel45 formel44 formel43 Previous 20 items 1 ... 13 14 15 16 17 18 19 ... 37 Next 20 items