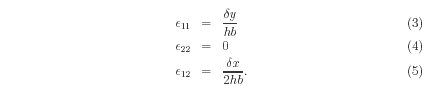
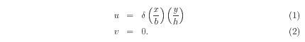
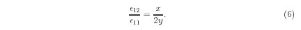
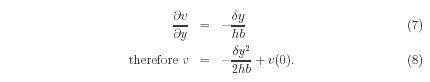
Modified items All recently modified items, latest first. Figure 1 figure 5b figure 8 figure 7 figure 6 figure 5 figure 4 figure 3 figure_2 figure_1 1301 1201 1103 1102 1101 1015 1014 1013 1012 1011 Previous 20 items 1 ... 17 18 19 20 21 22 23 ... 37 Next 20 items