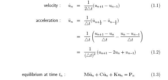
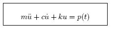
Modified items All recently modified items, latest first. 210 209 208 207 206 205 204 203 202 201 figure 9_2 figure 9_1 figure 8_2 figure 8_1 figure 6_2 figure 6_1 443 442 441 434 Previous 20 items 1 ... 23 24 25 26 27 28 29 ... 37 Next 20 items