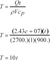
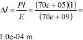
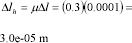
Modified items All recently modified items, latest first. 433 432 431 421 413 412 411 334 333 332 331 322 321 311 Solving problems with path dependent materials The consistent tangent matrix In the evaluation of the tangent sti ness matrix, the material tangent matrix is required. The continuum tangent matrix was developed in a previous article, and it is frequently used in nite element calculations. Generalizing the yield function Radial Return The most popular method for integrating the plasticity equations for isotropic von Mises plasticity is radial return, developed by Wilkins for HEMP and Maenchen and Sack for TENSOR, two finite difference codes developed at Lawrence Livermore National Laboratory. The continuum tangent matrix for plastic flow The consistency condition Previous 20 items 1 ... 24 25 26 27 28 29 30 ... 37 Next 20 items